lunes, 6 de febrero de 2012

Arqueología matemática

Os quería enseñar un poco de arqueología matemática. René Descartes es un viejo conocido de todo el que haya estudiado filosofía en el instituto pero por lo visto también destacó en matemáticas. Las famosas “Coordenadas cartesianas” se llaman así su honor, y por cierto son coherentes con su filosofía. Recordaréis que él quería construir una filosofía basándose en unos cimientos fuertes y tomar un punto de partida sólido a partir del cual ir desarrollando  el resto de conocimientos: El famoso “Cogito ergo sum”.  Asimismo ideó las dos rectas perpendiculares o ejes que se cortan en el origen de coordenadas para a partir de ahí poder representar las ideas de la geometría.

Ésta es una muestra de uno de sus libros en el que explica cómo se puede resolver una ecuación de segundo grado con las herramientas de dibujo básicas. Es interesante apreciar la nomenclatura que, pese a ser diferente, ya es comparable a la actual.


Después de ver este interesante resultado he tenido que comprobarlo por mí mismo. Voy a poner una ecuación de segundo grado en la misma forma del texto:
(Cuyas soluciones son 9 y -1)
Por tanto:
a/2=4
b= 3
Dibujo en el autocad siguiendo los pasos del texto:

Y al comprobar la distancia resultante ¡coincide con lo esperado! Eso sí, faltaría encontrar la otra solución, menos uno, pero vamos, está ahí también. Os dejo ese detalle en el aire por si queréis trastear.

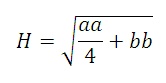
La demostración de por qué este procedimiento funciona también es muy interesante porque sólo es necesario usar el Teorema de Pitágoras. La hipotenusa inicial se puede calcular como:

Aplicado a las variables de nuestro caso:


A esa H hay que sumarle un radio para obtener la distancia solución así:


Y esta fórmula ya es equivalente a la típica de resolución de ecuaciones de segundo grado:


1 comentario:

  1. Si al radio le restas el contenido de la raíz en lugar de sumarlo tienes la otra solución. Es lo que tiene trabajar con cuadrados.

    ResponderEliminar